初等数论¶
前置知识¶
小学数学
目标¶
算数基本定理,判断质数,分解质因子,GCD,约数个数,约数之和
算数基本定理¶

判断质数¶
bool is_prime(int x)
{
if (x < 2) return false;
for (int i = 2; i <= x / i; i++)
if (x %i == 0) return false;
return true;
}
分解质因子¶
void divide(int x)
{
for (int i = 2; i <= x / i; i++)
if (x % i == 0)
{
int s = 0; // 计数器,记录个数
while (x % i == 0) x /= i, s++;
cout << i << ' ' << s << endl;
}
if (x > 1) cout << x << ' ' << 1 << endl;
puts("");
}
约数个数¶

(理论:乘法原理、质因子之间的独立性)
84 = 2^2 * 3^1 * 7^1
t(84) = (2+1) * (1+1) * (1+ 1) = 3 * 2 * 2 = 12(12个约数)
1 2 3 4 6 7 12 14 21 28 42 84, 12个
例题,869. 试除法求约数¶
#include <bits/stdc++.h>
using namespace std;
set<int> get_divisors(int n) {
set<int> res;
for (int i = 1; i <= n / i; i++)
if (n % i == 0){
res.insert(i);
if (i != n / i) res.insert(n / i);
}
return res;
}
int main() {
int n;
cin >> n;
while (n--){
int x;
cin >> x;
auto res = get_divisors(x);
for (auto t : res) cout << t << ' ';
cout << endl;
}
return 0;
}
例题,870. 约数个数¶
#include <bits/stdc++.h>
using namespace std;
typedef long long LL;
const int mod = 1e9 + 7;
int main() {
int n;
cin >> n;
map<int, int> primes;
while (n--) {
int x;
cin >> x;
for (int i = 2; i <= x / i; i++)
while (x % i == 0) {
x /= i;
primes[i] ++;
}
if (x > 1) primes[x]++;
}
LL ret = 1;
for (auto x : primes) {
int y = x.second;
ret = ret * (y + 1) % mod;
}
cout << ret << endl;
return 0;
}
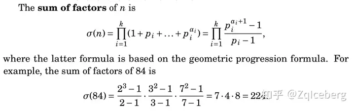
约数之和¶

(理论:乘法分配律、质因子之间的独立性、乘法原理、等比数列求和公式)
例题,871. 约数之和¶
#include <bits/stdc++.h>
using namespace std;
typedef long long LL;
const int mod = 1e9 + 7;
int main() {
int n;
cin >> n;
map<int, int> primes;
while (n--) {
int x;
cin >> x;
for (int i = 2; i <= x / i; i++)
while (x % i == 0) {
x /= i;
primes[i]++;
}
if (x > 1) primes[x]++;
}
LL res = 1;
for (auto prime : primes) {
int p = prime.first, a = prime.second;
LL t = 1;
while (a--) t = (t * p + 1) % mod; // p^0 + p^1 + ... + p^a
res = res * t % mod;
}
cout << res << endl;
return 0;
}
题单¶
总结¶
算数基本定理,判断质数,分解质因子,GCD,约数个数,约数之和 这些是基本的,其他的以专题方式介绍(筛法求质数)